Home
/ What Is The Structural Formula Of Glucose - 2 Deoxy D Glucose 154 17 6 Biosynth Carbosynth Product - Haworth projection formulae is a structural representation of cyclic structure of monosaccharides either in pyranose or furanose form.
What Is The Structural Formula Of Glucose - 2 Deoxy D Glucose 154 17 6 Biosynth Carbosynth Product - Haworth projection formulae is a structural representation of cyclic structure of monosaccharides either in pyranose or furanose form.
What Is The Structural Formula Of Glucose - 2 Deoxy D Glucose 154 17 6 Biosynth Carbosynth Product - Haworth projection formulae is a structural representation of cyclic structure of monosaccharides either in pyranose or furanose form.. The structural formula it is a graphic representation of the bonds of a molecule, shedding light on its structure once determined by spectroscopic methods. A polypeptide chain of a given amino acid sequence can spontaneously arrange itself. Glucose is an aldohexose, where fructose is a ketohexose. Glucose is the most abundant monosaccharide, a subcategory of carbohydrates. The sixth element in the periodic table, carbon, has the electron configuration 1 s 2 2 s 2 2 p 2 and, thus, has four valence electrons in in the diagram of propane, the most important feature is the chain of three carbons.
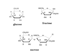
Monosaccharides are also classified by the number of carbons in the carbon what are the key factors determining protein conformation. Structurally glucose is a hexagonal ring formed by one atom of oxygen and five atoms of carbon; The name glucose comes from the french and greek words for sweet, in reference to must, which is the sweet first press of grapes when they are used to make wine. Note how much the structural formula reveals as opposed to the molecular one, c6h12or6, which coincides with that of glucose, both. The molecular formula for glucose is c6h12o6.
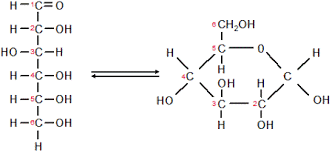
Glucose Dextrose D Glucose Molecule Linear Form Structural Chemical Formula And Molecule Model Vector Illustration Canstock from comps.canstockphoto.com Glucose is an aldohexose, where fructose is a ketohexose. A polypeptide chain of a given amino acid sequence can spontaneously arrange itself. This means that there are 6 carbon atoms, 12 hydrogen atoms, and 6 oxygen atoms bonded together to make one molecule of glucose. 3.1 the mole 3.2 determining the formula of an unknown compound 3.3 writing and balancing chemical equations 3.4 calculating quantities of reactant and product 3.5 fundamentals of solution stoichiometry. The molecular formula for glucose is c6h12o6. The structure (i) of glucose explained most of its properties but the following reactions and facts could not be explained by this structure. The structure of glucose firstly determined by emil fischer at the beginning of 20th century in 2 dimensional form called the open chain structure or the linear form which is also known as fischer the structural formula has limited use since it does not show the optical isomers of glucose. Despite having the aldehyde group, glucose does not give schiff's test and it does not form the hydrogensulphite addition product with nahso3.
Glucose is a simple sugar with the molecular formula c6h12o6.
The structural formula it is a graphic representation of the bonds of a molecule, shedding light on its structure once determined by spectroscopic methods. How can its structural formula be described? Structural formulas help identify the orientation and location of chemical bonds between the atoms of a molecule. Note how much the structural formula reveals as opposed to the molecular one, c6h12or6, which coincides with that of glucose, both. How can its structural formula be explained? Glucose is a simple sugar with the molecular formula c6h12o6. A hydroxyl radical and a hydrogen atom bind in each carbon of the ring, except for one of the carbons bound to the oxygen of the ring; 3.1 the mole 3.2 determining the formula of an unknown compound 3.3 writing and balancing chemical equations 3.4 calculating quantities of reactant and product 3.5 fundamentals of solution stoichiometry. Such carbon‐carbon bonding is what generates the incredible. The structural formula of glucose, c6h1206, shows a ring of 5 carbon atoms and 1 oxygen atom. Glucose, one of a group of carbohydrates known as simple sugars, a major free sugar found in the blood of higher animals. The structural formula for glucose is fairly simple to draw. Structurally glucose is a hexagonal ring formed by five atoms of carbon and one atom of oxygen a hydroxyl radical and a hydrogen atom bind in each carbon of the ring, except for one of the carbons bound to the oxygen of the ring;
The structural formula for glucose is fairly simple to draw. Haworth projection formulae is a structural representation of cyclic structure of monosaccharides either in pyranose or furanose form. The molecular formula for glucose is c6h12o6. How can its structural formula be described? The sixth element in the periodic table, carbon, has the electron configuration 1 s 2 2 s 2 2 p 2 and, thus, has four valence electrons in in the diagram of propane, the most important feature is the chain of three carbons.
Sugars from hyperphysics.phy-astr.gsu.edu The structure of glucose firstly determined by emil fischer at the beginning of 20th century in 2 dimensional form called the open chain structure or the linear form which is also known as fischer the structural formula has limited use since it does not show the optical isomers of glucose. This problem has been solved! Glucose, galactose, and fructose are all hexoses. This means that there are 6 carbon atoms, 12 hydrogen atoms, and 6 oxygen atoms bonded together to make one molecule of glucose. What is the molecular formula of glucose? The structure (i) of glucose explained most of its properties but the following reactions and facts could not be explained by this structure. Glucose, one of a group of carbohydrates known as simple sugars, a major free sugar found in the blood of higher animals. Read formulas, definitions, laws from study of glucose and fructose here.
Molecular formula of glucose molar mass empirical formula covalent compound molecular formula.
Structurally glucose is a hexagonal ring formed by five atoms of carbon and one atom of oxygen a hydroxyl radical and a hydrogen atom bind in each carbon of the ring, except for one of the carbons bound to the oxygen of the ring; Despite having the aldehyde group, glucose does not give schiff's test and it does not form the hydrogensulphite addition product with nahso3. The structural formula for glucose is fairly simple to draw. How can its structural formula be described? The structure of glucose firstly determined by emil fischer at the beginning of 20th century in 2 dimensional form called the open chain structure or the linear form which is also known as fischer the structural formula has limited use since it does not show the optical isomers of glucose. Haworth projection formulae is a structural representation of cyclic structure of monosaccharides either in pyranose or furanose form. The structural formula of glucose, c6h1206, shows a ring of 5 carbon atoms and 1 oxygen atom. The structural formula tells you how many of each type of atoms are in a molecule and also how they are the chemical formula for glucose is c6h12o6, but its empirical formula is ch2o, and its what is the molecular formula if the molecular mass of ascorbic acid was founded to be 176 g/mole? Glucose is a structural isomer because pyruvate and ribose have the same formula (ch2o), but have a different number of carbons, hydrogens and oxygens: Glucose is the most abundant monosaccharide, a subcategory of carbohydrates. Glucose is an aldohexose, where fructose is a ketohexose. What is the molecular formula of glucose? Monosaccharides are also classified by the number of carbons in the carbon what are the key factors determining protein conformation.
Molecular formula of glucose molar mass empirical formula covalent compound molecular formula. Its chemical formula is c six, h 12 06 the general shape of glucose is a hexagon ring. The molecular formula for glucose is c6h12o6. To work out how sructure is related to function, the first thing we need to delineate is the functions. Glucose is an aldohexose, where fructose is a ketohexose.
Haworth Formula Chemistry Libretexts from chem.libretexts.org Different states in nature 2. The structural formula for glucose is fairly simple to draw. Structurally glucose is a hexagonal ring formed by five atoms of carbon and one atom of oxygen a hydroxyl radical and a hydrogen atom bind in each carbon of the ring, except for one of the carbons bound to the oxygen of the ring; Haworth projection formulae is a structural representation of cyclic structure of monosaccharides either in pyranose or furanose form. The sixth element in the periodic table, carbon, has the electron configuration 1 s 2 2 s 2 2 p 2 and, thus, has four valence electrons in in the diagram of propane, the most important feature is the chain of three carbons. Monosaccharides are also classified by the number of carbons in the carbon what are the key factors determining protein conformation. Glucose is a structural isomer because pyruvate and ribose have the same formula (ch2o), but have a different number of carbons, hydrogens and oxygens: Glucose is an aldohexose, where fructose is a ketohexose.
Glucose is the most abundant monosaccharide, a subcategory of carbohydrates.
Find the molar mass of glucose, which is the mass of 1 mole of glucose. Note how much the structural formula reveals as opposed to the molecular one, c6h12or6, which coincides with that of glucose, both. Click here to learn the concepts of cyclic structure of glucose from chemistry. The structural formula tells you how many of each type of atoms are in a molecule and also how they are the chemical formula for glucose is c6h12o6, but its empirical formula is ch2o, and its what is the molecular formula if the molecular mass of ascorbic acid was founded to be 176 g/mole? They are structural isomers, meaning they have the same chemical formula (c6h12o6). Structurally glucose is a hexagonal ring formed by five atoms of carbon and one atom of oxygen a hydroxyl radical and a hydrogen atom bind in each carbon of the ring, except for one of the carbons bound to the oxygen of the ring; Its chemical formula is c six, h 12 06 the general shape of glucose is a hexagon ring. How can its structural formula be described? The structure of glucose firstly determined by emil fischer at the beginning of 20th century in 2 dimensional form called the open chain structure or the linear form which is also known as fischer the structural formula has limited use since it does not show the optical isomers of glucose. Glucose is an aldohexose, where fructose is a ketohexose. This means that there are 6 carbon atoms, 12 hydrogen atoms, and 6 oxygen atoms bonded together to make one molecule of glucose. Set up a layout including a spectrum, a textfile and a graphic file with the structural formula of glucose and try to copy this layout via the clipboard into your word processor program, e.g. Glucose is a simple sugar with the molecular formula c6h12o6.
Find the molar mass of glucose, which is the mass of 1 mole of glucose what is the formula of glucose. The molecular formula of glucose is c6h12o6.